试卷总分:0分



编程题 4题 0分

01 02 03 04

E110 电子学会青少年软件编程等级考试-C++ -202503C语言七级真题-考试

编程题 共4道

01

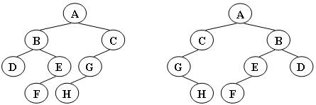
树的同构

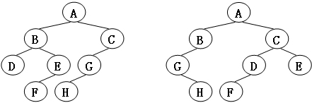
给定两棵树  T1 和 T2。如果 T1 可以通过若干次左右孩子互换就变成 T2,则我们称两棵树是“同构”的。例如图1给出的两棵树就是同构的,因为我们把其中一棵树的结点A、B、G的左右孩子互换后,就得到另外一棵树。而图2就不是同构的。


图1

图2

现给定两棵树,请你判断它们是否是同构的。

时间限制:1000

内存限制:65536

输入

输入给出2棵二叉树的信息。对于每棵树,首先在一行中给出一个非负整数 n(≤ 10),即该树的结点数(此时假设结点从 0 到 n -1 编号);随后 n 行,第 i 行对应编号第 i 个结点,给出该结点中存储的 1 个英文大写字母、其左孩子结点的编号、右孩子结点的编号。如果孩子结点为空,则在相应位置上给出 “-”。给出的数据间用一个空格分隔。注意:题目保证每个结点中存储的字母是不同的。

输出

如果两棵树是同构的,输出“Yes”,否则输出“No”。

样例输入

样例#1(对应图1):

8

A 1 2

B 3 4

C 5 -

D - -

E 6 -

G 7 -

F - -

H - -

8

G - 4

B 7 6

F - -

A 5 1

H - -

C 0 -

D - -

E 2 -

样例#2(对应图2):

8

B 5 7

F - -

A 0 3

C 6 -

H - -

D - -

G 4 -

E 1 -

8

D 6 -

B 5 -

E - -

H - -

C 0 2

G - 3

F - -

A 1 4

样例输出

样例#1:

Yes

样例#2:

No

0分
登录后作答
02

网红点打卡攻略

一个旅游景点,如果被带火了的话,就被称为“网红点”。大家来网红点游玩,俗称“打卡”。在各个网红点打卡的快(省)乐(钱)方法称为“攻略”。你的任务就是从一大堆攻略中,找出那个能在每个网红点打卡仅一次、并且路上花费最少的攻略。

时间限制:1000

内存限制:65536

输入

首先第一行给出两个正整数:网红点的个数 N(1 < N ≤ 200)和网红点之间通路的条数 M。随后 M 行,每行给出有通路的两个网红点、以及这条路上的旅行花费(为正整数),格式为“网红点1 网红点2 费用”,其中网红点从 1 到 N 编号;同时也给出你家到某些网红点的花费,格式相同,其中你家的编号固定为 0。 再下一行给出一个正整数 K,是待检验的攻略的数量。随后 K 行,每行给出一条待检攻略,格式为: n V1 V2 … Vn 其中 n (≤ 200) 是攻略中的网红点数,Vi 是路径上的网红点编号。这里假设你从家里出发,从 V1 开始打卡,最后从 Vn 回家。

输出

在第一行输出满足要求的攻略的个数。 在第二行中,首先输出那个能在每个网红点打卡仅一次、并且路上花费最少的攻略的序号(从 1 开始),然后输出这个攻略的总路费,其间以一个空格分隔。如果这样的攻略不唯一,则输出序号最小的那个。 题目保证至少存在一个有效攻略,并且总路费不超过 109。

样例输入

6 13

0 5 2

6 2 2

6 0 1

3 4 2

1 5 2

2 5 1

3 1 1

4 1 2

1 6 1

6 3 2

1 2 1

4 5 3

2 0 2

7

6 5 1 4 3 6 2

6 5 2 1 6 3 4

8 6 2 1 6 3 4 5 2

3 2 1 5

6 6 1 3 4 5 2

7 6 2 1 3 4 5 2

6 5 2 1 4 3 6

样例输出

3

5 11

提示

样例说明: 第 2、3、4、6 条都不满足攻略的基本要求,即不能做到从家里出发,在每个网红点打卡仅一次,且能回到家里。所以满足条件的攻略有 3 条。 第 1 条攻略的总路费是:(0->5) 2 + (5->1) 2 + (1->4) 2 + (4->3) 2 + (3->6) 2 + (6->2) 2 + (2->0) 2 = 14; 第 5 条攻略的总路费同理可算得:1 + 1 + 1 + 2 + 3 + 1 + 2 = 11,是一条更省钱的攻略; 第 7 条攻略的总路费同理可算得:2 + 1 + 1 + 2 + 2 + 2 + 1 = 11,与第 5 条花费相同,但序号较大,所以不输出。

0分
登录后作答
03

树的偏斜度

对于一棵二叉树,令 nL 表示仅有左孩子的结点的个数,令 nR 表示仅有右孩子的结点的个数。这棵树的“偏斜度”定义为 Ds = nL - nR。本题就请你计算任一棵给定二叉树的 Ds。

时间限制:1000

内存限制:65536

输入

输入在第一行给出正整数 n (≤ 103),为二叉树中结点个数。随后两行先后给出这棵树的后序遍历和中序遍历序列,键值为 1 到 n 的整数。同行数字间以空格分隔。

输出

在一行中按以下格式输出树的偏斜度: Ds = nL - nR

样例输入

7

1 2 7 5 4 3 6

1 2 3 4 7 5 6

样例输出

2 = 3 - 1

0分
登录后作答
04

是不是堆

二叉堆可以用一棵完全二叉树来实现,但完全二叉树不一定满足堆的性质。本题就请你判断一棵给定的完全二叉树是不是堆。

时间限制:1000

内存限制:65536

输入

输入在一行中给出两个正整数:m(≤ 100)是将要测试的完全二叉树的数量;n(1 < n ≤ 1000)是完全二叉树中的结点数。 随后 m 行,每行给出 n 个互不相同的键值(均在整型范围内),为完全二叉树的层序遍历序列。

输出

对输入的每棵完全二叉树,如果它是最大堆(大顶堆),就在一行中输出 `Max Heap`;如果是最小堆(小顶堆),则输出 `Min Heap`;如果根本不是堆,则输出 `Not Heap`。然后在下一行输出这棵树的后序遍历序列。同行数字间以 1 个空格分隔,行首尾不得有多余空格。

样例输入

3 8

98 72 86 60 65 12 23 50

8 38 25 58 52 82 70 60

10 28 15 12 34 9 8 56

样例输出

Max Heap

50 60 65 72 12 23 86 98

Min Heap

60 58 52 38 82 70 25 8

Not Heap

56 12 34 28 9 8 15 10

0分
登录后作答